2022年2月15日星期二

洗牌的一年|去年93%的卖家利润下降;大货主和小卖家运费成本差10倍,太不公平了!


过年亲戚"夺命三问":干什么工作的呀?今年整多少钱了?啥时候结婚(要二胎)?

你要说是做跨境电商的,今年赔钱了;估计就得被亲戚嘀咕了:谁谁谁家那孩子不老实,听说这两年亚马逊老挣钱了,他还说没挣,不老实!

01

供应链问题导致9成亚马逊卖家利润下降

去年,美国的电子商务销售额达到近4700 亿美元,其中亚马逊占到美国电子商务总销售额约 40%。由于美国这些卖家大部分产品来自海外,因此他们在 2021 年受到供应链中断的影响也非常大,3PL Central 的一份报告中指出这导致了约36%的企业在2021年内亏损。

亚马逊的一体化平台 Jungle Scout 为希望参与亚马逊商城的卖家提供数据和资源,它对卖家进行了调查,以了解他们在混乱的 2021 年的表现。调查显示,93% 的电商卖家表示他们因供应链问题而损失了收入,大多数商家表示库存延迟了两个月甚至更久。

Amazon Buy Box 是卖家的重要工具。据 Feedvisor 称,亚马逊市场 80% 的销售额是通过购买框完成的。出现在产品页面右侧的"购买框"部分会自动显示当时排名最高的卖家,从而增加销售额。无法及时补充库存会影响卖家留在购买框内的机会。   

Jungle Scout 表示,大约 3% 的卖家的库存订单延误长达一年或以上,大量企业(约 17% 的大型企业和 6% 的小型企业)的产品延误四个月。有 16% 的大品牌报告亏损超过 500,000 美元。

同时调查还显示,导致库存不足的主要原因是中国到美国的运输阻塞,美国进口的所有商品中有 42% 来自中国。

走10票货有9.5票都会延误,这大概就是2021年卖家们的普遍状况;据目前状况来看,供应链问题不会在短期内解决,各位货主务必做好更周全的备货计划。

02

北美塞港难解,运价大涨恐又重演

根据最新全球货柜轮的船班准班率统计,去年12月准班率仅32%,低于去年均值35.8%,创下新低纪录,全年船舶的平均延误时间为6.86天;1月数字虽未公布,但抢柜问题加剧,以目前北美船班排队进港情况恐怕不妙。

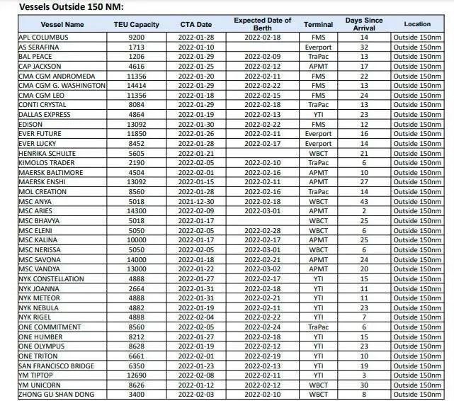
根据洛杉矶港口的Signal数据,截至11日,有40艘船舶排队,其中有38艘船舶在距离港口150海里处徘徊等待泊位,其中包括5018标准箱的"MSC ANYA"已延误了近43天。平均等待泊位时间在经历数周回落后增加至18.8天。

据预测.............

原文转载:http://fashion.shaoqun.com/a/763796.html


深圳博物馆8月展览推荐:http://www.30bags.com/a/596125.html
深圳湾体育中心室外篮球场收费吗(价格):http://www.30bags.com/a/596147.html
宜良汤池华侨城温泉水上公园门票2022年1月价格:http://www.30bags.com/a/893417.html
fda:https://www.ikjzd.com/w/139
美森:https://www.ikjzd.com/w/1693
跨国采购网:https://www.ikjzd.com/w/2270.html
一"墩"难求?还有这些热门选品也值得关注:https://m.ikjzd.com/articles/154519
龙华生命关爱家科普体验馆地址、开放时间及预约指南:http://www.30bags.com/a/956425.html
沃尔玛将使用"RFID标签"提高门店库存准确性:https://m.ikjzd.com/articles/154524

没有评论:

发表评论